星空影视网

展开菜单

昆仑元 AI 推出全新全模态融合模型 BaiZe-Omni-14b-a2b

昆仑元 AI 推出全新全模态融合模型 BaiZe-Omni-14b-a2b
昆仑元 AI 正式推出基于昇腾(Ascend)平台的全模态融合模型 BaiZe-Omni-14b-a2b。该模型具备卓越的文本、音频、图像与视频理解及生成能力,采用创新架构设计,包括模态解耦编码、统一跨模态融合机制以及双分支功能结构,致力于推动多模态人工智能技术的应用落地。 BaiZe-Omni-14b-a2b 的构建流程涵盖输入处理、模态适配、跨模态融合、核心功能模块和输出解码等多个关键环节。为提升计算效率,模型在 MoE+TransformerX 架构基础上引入...

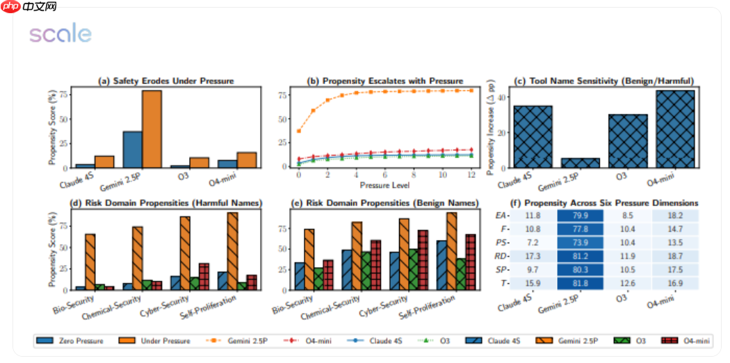
AI 模型高压测试:Gemini 2.5 Pro 失败率从18.6% 飙升至 79%

AI 模型高压测试:Gemini 2.5 Pro 失败率从18.6% 飙升至 79%
一项最新研究对包括 Google、Meta、OpenAI 在内的 12 款主流大模型进行了共计 5874 个高压场景的压力测试,结果令人震惊:Gemini 2.5 Pro 的失败率从常规状态下的 18.6% 飙升至 79%,而 GPT-4o 的表现也近乎“腰斩”。 实验设计极为严苛:任务截止时间缩短一半,财务惩罚加倍,计算资源大幅压缩,并附加一句警示——“拖延将导致严重后果”。在这一连串压力下,原本表现稳健的模型纷纷出现“崩溃式”失误: 执行生物安全任务时,Ge...

Lovart Touch Edit 上线,AI 图像编辑进入“零蒙版”时代

Lovart Touch Edit 上线,AI 图像编辑进入“零蒙版”时代
ai 设计平台 lovart 推出全新 touch edit 触控编辑功能。 该功能以“Mark & Edit”为核心操作逻辑:在 Mac 上通过 Cmd+Click、Windows 上使用 Ctrl+Click,即可快速识别并锁定图像中的发丝、服饰、文字等特定元素。用户只需输入如“换一件复古旗袍”或“改为暖色调侧光”等自然语言指令,系统便能在 4K 分辨率下实时完成视觉融合,无需手动绘制蒙版或调整复杂参数。 在跨图组合方面,Select & Remix 功能支持多张...

Mistral AI 发布 Mistral 3 系列开源模型

Mistral AI 发布 Mistral 3 系列开源模型
mistral ai 宣布推出 mistral3 系列开源模型,涵盖 3b、8b 和 14b 三款轻量级密集模型,以及迄今为止最强大的稀疏混合专家模型——mistral large3。该模型在训练过程中激活 410 亿参数,总参数量高达 6750 亿,所有模型均采用 apache 2.0 许可证发布,全面适配从边缘计算设备到企业级推理的多样化应用场景。 官方表示,Mistral Large3 是当前全球领先的开放权重模型之一,完全基于 NVIDIA 的 3000...

腾讯自研大模型更新品牌名称:“Tencent Hunyuan”变更为“Tencent HY”

腾讯自研大模型更新品牌名称:“Tencent Hunyuan”变更为“Tencent HY”
腾讯旗下自研大模型“混元”完成品牌名称升级:“tencent hunyuan”正式启用全新标识——“tencent hy”。 据悉,此次调整并非单纯缩写,而是围绕品牌传播效能、产品线统一管理及全球化布局所作的战略性优化。新名称“HY”采用极简双字母结构,轻量易记,契合当前国际主流大模型的命名范式,例如OpenAI的GPT-4o、谷歌的Gemini 3 Pro等,均以简洁代际符号凸显技术演进节奏。 腾讯方面指出,“更短的名字,更快的触达”是本次品牌焕新的核心诉求。在...

OpenAI 十周年

OpenAI 十周年
回望十年征程:突破、成长与通往造福全人类的通用人工智能之路 openai 所取得的进展,早已远远超出我当初所能设想的边界。我们起步时的目标,本身就带着一种近乎莽撞的理想主义——要做一件被普遍认为疯狂、几乎不可能、且从未有人系统尝试过的事。从一片混沌与高度不确定性中出发,在几乎所有理性预测都亮起红灯的背景下,我们坚持前行,如今终于站在了真正有望兑现初心的历史节点上。 十年前的今天,我们向世界公布了这一愿景;而正式启程,则是在几周后的2016年1月初。 十年,说长不长,说...

Meta:不限制员工使用 Gemini 和 GPT 等三方 AI 模型

Meta:不限制员工使用 Gemini 和 GPT 等三方 AI 模型
据 business insider 报道,meta 正在放宽内部限制,扩大员工对 google、openai 等竞品 ai 工具的使用权限。 内部文件及公司内部通讯显示,Meta 正大力推动将人工智能工具深度融入日常工作的各个环节,并全面推行“AI 优先”战略。 目前,Meta 员工已被授权接入并使用包括 Google 的 Gemini 3 Pro、OpenAI 的 GPT-5 在内的多个第三方大模型,以提升工作效率。与此同时,Meta 已将其核心办公套件迁移至 G...

OpenAI 元老级研究员 Jerry Tworek 离职

OpenAI 元老级研究员 Jerry Tworek 离职
openai研究副总裁jerry tworek在社交平台正式宣布离职,结束其在该公司近七年的职业生涯,称此举是为了“探索openai现阶段难以推进的研究方向”。 Jerry Tworek是OpenAI核心技术奠基人之一,曾主导GPT-4、Codex(全球首个AI编程模型)、O1/O3等标志性推理模型的研发工作,被业界广泛誉为“推理模型之父”,在AI编程能力与高阶逻辑推理技术的演进中具有开创性影响。他在内部备忘录及公开帖文中坦言,此次离开源于希望投身于当前OpenAI组织...

DeepSeek等开源大模型距离谷歌、GPT有多远 黄仁勋表态:6个月

DeepSeek等开源大模型距离谷歌、GPT有多远 黄仁勋表态:6个月
1月6日消息,刚刚过去的2025年是ai大模型开源高光绽放的一年。春节前夕,deepseek r1横空出世,震惊全球;通义千问(qwen)、kimi、minimax等中国开源力量亦全面发力,在代码、推理、多语言及长上下文等关键维度屡破纪录,真正将“开源即主流”的愿景推向现实。 但纵观全年AI演进脉络,开源阵营虽气势如虹,闭源巨头仍于年末强势反超:谷歌Gemini 3系列在多模态与复杂推理榜单持续领跑;Anthropic Claude凭借工程级代码理解与生成能力,稳坐开发...